Soal soal berikut masing masing telah disediakan pembahasannya. Sifat sifat operasi bilangan berpangkat dan dengan contoh soal serta pembahasannya lengkap.
Bentuk Pangkat Dan Akar Soal Dan Pembahasan Matematika
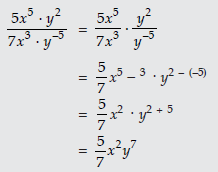
Contoh soal perpangkatan dan pembahasannya. Contoh soal dan pembahasan tentang eksponen sma contoh soal dan pembahasan tentang sifat eksponen sma contoh soal dan pembahasan tentang pertidaksamaan eksponen sma contoh soal dan pembahasan tentang persamaan eksponen sma. Soal dan pembahasan pangkat akar dan logaritma versi hots dan olimpiade today quote dont stop when youre tired. Untuk setiap a bilangan real bukan nol maka a 0 1. Berikut ini adalah soal aljabar kelas 8 mengenai operasi bentuk aljabar pemfaktoran dan penerapan aljabar lengkap dengan pembahasannya. Pangkat nol dan pangkat bulat negatif definisi. Soal pangkat dan akar kelas 9 semoga contoh soal pangkat dan akar lengkap dengan kunci jawaban dan pembahasan ini bermanfaat untuk adik adik khususnya yang sudah kelas 9 sekolah menengah pertama smp sltpmts dan bisa dijadikan referensi belajar.
Materi matematikan tentang pengertian rumus contoh soal dan sifat sifat persamaan logaritma kelas 10 contohnya dan pembahasannya lengkap. Contoh soal logaritma dan pembahasannya beserta jawabannya by azzahra rahmah posted on december 27 2019 rumuscoid pada kesempatan kali ini kita akan membahas tentang contoh soal logaritma matematika kelas 10 penjumlahan pengurangan beserta jawabannya dan pembahasannya lengkap. Bilangan berpangkat yang dimaksud dengan bilangan berpangkat ialah bilangan penyederhana dari bilangan yang dikalikanada beberapa sifat bilangan pangkat yang harus kamu tahu. Contoh soal dan pembahasan tentang bentuk akar contoh soal dan pembahasan tentang merasionalkan bentuk akar contoh soal dan pembahasan tentang penjumlahan bentuk akar. Berikut ini adalah pembahasan tentang bilangan bepangkat yang meliputi sifat sifat bilangan berpangkat operasi bilangan berpangkat contoh soal bilangan berpangkat contoh operasi bilangan berpangkat sifat sifat perpangkatan perkalian bilangan berpangkat pembagian bilangan berpangkat penjumlahan bilangan berpangkat pengurangan bilangan berpangkat perpangkatan bilangan berpangkat. Jika n bilangan bulat positif dan a bilangan real bukan nol maka an 1a n contoh soal.
Berikut ini merupakan soal mengenai pangkat akar dan logaritma soal standar dengan tingkat lots dan mots yang dikutip dari berbagai sumber referensi. Nyatakan tidak dengan pangkat nol atau negatif a.

















