Matriks operasi matriks rumus contoh soal matriks dan jawabannya lengkap dalam matematika matriks adalah susunan bilangan simbol atau ekspresi yang disusun dalam baris dan kolom sehingga membentuk suatu bangun persegi. Maka nilai x yang memenuhi adalah x 1 2 dan x 2 3.
Perkalian Matriks 3 X 3 2 X 2 M X N X N X M Idschool
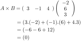
Contoh soal perkalian matriks. Tentukan nilai x yang memenuhui persamaan tersebut. Perkalian matriks adalah salah satu pembelajaran dalam ilmu matematika. Rumuscoid setelah sebelumnya kita membahas tentang rumus persamaan eksponen kali ini kita akan membahas materi tentang rumus perkalian matriks kita akan jabarkan secara detail dan lengkap dari pengertian matriks pengertian perkalian matriks sifat sifat perkalian matriks jenis jenis perkalian matriks beserta rumus dan contoh soalnya. Dua buah matriks a dan b dapat dikalikan bila banyak kolom matriks a sama dengan banyak baris pada matriks b. Contoh soal dan pambahasan. Soal himpunan kelas 7 lengkap dengan pembahasan.
Perkalian matriks m x n x n x p ulasan terakhir. Selain membahas tentang rumus perkalian matriks kami juga akan membahas secara singkat rumus perkalian skalar matriks untuk lebih jelasnya silahkan simak penjabaran. Berikut rumus contoh soal dan pembahasan perkalian matriks 3x2 2x2 2x3 3x1 4x4 dst. Simak selengkapnya di bawah. Pengertian dan jenis jenis matriks. Misalnya matriks ordo 2 x 3 dapat dikalikan dengan matriks ordo 3 x 3 tetapi tidak bisa dikalikan dengan matriks berordo 3 x 2 karena jumlah baris matriks ordo 3 x 2 tidak sama dengan jumlah kolom matriks ordo 2 x 3.
Aljabar smp kelas 7. Soal aljabar kelas 8 beserta pembahasan lengkap. Tentukan hasil perkalian matriks 3 x 3 di bawah. Berikutnya adalah perkalian matriks dengan ukuran yang berbeda. Lengkap dengan contoh soal dan pembahasannya. Suatu perkalian matriks.
Jika matriks dan saling invers tentukan nilai x. Contoh soal matriks invers perkalian beserta pembahasannya by azzahra rahmah posted on december 29 2019 rumuscoid setelah sebelumnya kita membahas tentang contoh soal logaritma kali ini kita akan membahas materi tentang contoh soal matriks lengkap dengan pembahasannya kita akan jabarkan secara detail dan lengkap dari pengertian matriks macam macam rumus dan contoh soal beserta. Pemanfaatan matriks misalnya dalam menemukan solusi sistem persamaan linear. Kumpulan soal tentang perkalian matriks dan pembahasannya. Contoh soal perkalian matriks 3 x 3. Contoh soal matriks penjumlahan pengurangan perkalian dan campuran plus jawabannya.


















