Bentuk ini satu tingkat lebih rumit dibandingkan sistem persamaan linear 2 variabel. 2x 5y 4z 28.
Doc Soal Spl Docx Lambok Dongoran Academia Edu
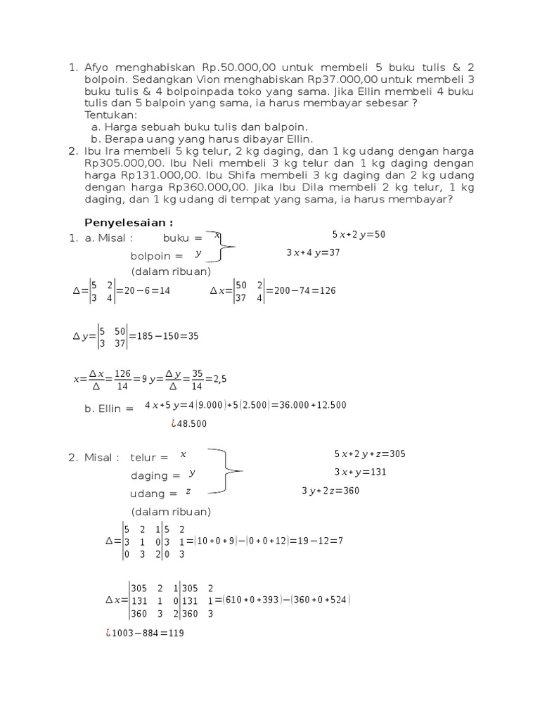
Contoh soal cerita persamaan linear 3 variabel. Menyelesaikan sistem persamaan linear dua variabel. 3x 2y 5 sistem persamaan linear dengan dua variabel adalah suatu sistem persamaan yang terdiri atas dua persamaan linear dimana masing masing persamaan mempunyai dua variabel dan sistem tersebut mempunyai tepat satu. Himpunnan penyelesaian sistem persamaan. Ada beberapa cara yang sering digunakan dalam menyelesaikannya yakni diantaranya adalah cara eliminasi substitusi gabungan eliminasi substitusi maupun grafik. 3x 2y 5z 19. Sistem persamaan linear tiga variabel adalah suatu sistem persamaan linear dengan memuat tiga variabel.
Nah agar kalian lebih memahami dan terampil dalam memecahkan masalah yang berkaitan dengan merancang model matematika berbentuk sistem persamaan linier 3 variabel spltv silahkan kalian pelajari beberapa contoh soal cerita dan pembahasannya berikut ini. Posting pada rumus matematika smp ditag contoh soal persamaan linear satu variabel bentuk pecahan soal plsv kelas 7 dan jawabannya contoh soal cerita plsv contoh soal persamaan dan pertidaksamaan linear satu variabel kelas 7 contoh soal persamaan linear satu variabel beserta jawabannya contoh soal plsv beserta jawabannya contoh soal plsv dan pembahasannya contoh soal plsv dan. Untuk contoh penerapan dalam bentuk soal cerita silahkan simak beberapa contoh soal di bawah ini. Persamaan linear dua variabel adalah suatu persamaan yang variabelnya berpangkat berderajat paling tinggi satu dan mempunyai dua variabel yakni variabel x dan y. Sistem persamaan linear 3 variabel merupakan himpunan 3 buah persamaan dengan variabel sebanyak 3. Menggunakan penyelesaian yang diperoleh untuk menjawab pertanyaan pada soal cerita.
















